Antioxidants
ADK STAB AO series (Thioether Antioxidants)
The specific gravity (25℃/25 ℃), viscosity (25℃) and melting point of properties are representative values. The same below.
Please contact us about food contact approval.
"ADK STAB" is not used as a trademark in USA.
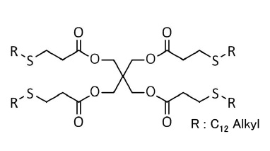
ADK STAB AO-412S
![]() |
Properties | White powder M.P.46-52℃ M.W.1,162 |
|
|---|---|---|---|
| Packaging | C/S 10kg |
||
| Characteristics and applications | ・Excellent long-term heat stability compared to DLTDP or DSTDP Very low volatility. ・Excellent resistance to extraction. |
||
| IUPAC | 2,2-Bis{[3-(dodecylthio)-1-oxopropoxy]methyl}propane-1,3-diyl bis[3-(dodecylthio)propionate] | ||
ADK STAB AO-503
![]() |
Properties | Clear liquid Vis. 55mPa・s M.W.543 |
|
|---|---|---|---|
| Packaging | C/N 16kg |
||
| Characteristics and applications | ・Liquid type. ・Good dispersibility/solubility in adhesives, coatings, latexes, etc. |
||
| IUPAC | Di(tridecyl) 3,3'-thiodipropionate | ||
ADK STAB AO-26
| Properties | Brown liquid Vis. 5,000mPa・s |
||
|---|---|---|---|
| Packaging | C/N 17kg |
||
| Characteristics and applications | ・Excellent long-term heat stability. ・Low interference with crosslinking agent. ・For cross-linked PE and adhesives, etc |
||
| IUPAC | Blend | ||


